Понедельник, 15.12.2025, 23:50
[ Новые сообщения · Участники · Правила форума · Поиск · RSS ]
  • Страница 2 из 3
  • «
  • 1
  • 2
  • 3
  • »
Модератор форума: zviadi  
Выбор моторезины
СаваДата: Суббота, 20.02.2016, 13:17 | Сообщение # 16
Город: Москва
Мотоцикл: RSV MILLE 1000 R factory
Группа: Проверенные
Сообщений: 18
Сейчас: Offline
По глубокой осени купил фактори 06 года, сейчас остро встал вопрос замены резины (передний баллон там в хлам и еще стоковый ))) 06 года )
Вот мучаюсь перед выбором Pirelli Diablo Rosso Corsa, но класс у нее супер-спорт. Или Michelin Pilot Power 3 - а это уже дорожно-спортивная ))
Кто пробовал и то, и то? Какие впечатления?
До этого катал три года на спешке, стояла шинка 010. Кроме того, что улетала пиндык как быстро (макс 3 тыс. км), нареканий не было.
 
zviadiДата: Суббота, 20.02.2016, 13:39 | Сообщение # 17
Город: Санкт-Петербург
Мотоцикл: Triumph Daytona 675
Группа: Администраторы
Сообщений: 6470
Сейчас: Offline
Цитата Сава ()
Pirelli Diablo Rosso Corsa, но класс у нее супер-спорт


Не тянет она на супер-спорт. Максимум - дорожно-спортивная.
Супер-спорт - это Супер Корса.

Цитата Сава ()
Кто пробовал и то, и то?


Я пробовал. На одном и том же мотоцикле.
Бери мишлен. Пирелли эта работает нормально при высоких темературах воздуха - свыше 25 градусов или на треке, где ее можно нормально прогреть.

Цитата Сава ()
стояла шинка 010... нареканий не было


Мда... Ну тогда вообще продолжай ставить Шинку, раз нареканий нет...
Стояла на одном из моих мотоциклов эта Шинка (правда, модель 006 - эдакий китайский закос под Мишлен Пилот Роад) аж два дня - досталась вместе с мотоциклом от предыдущего владельца. Впечатлений от езды на этой резине мне хватило на всю жизнь. Вообще ничего общего с мишленом.
Опять же - смотря как ездить...

Цитата Сава ()
Кроме того, что улетала пиндык как быстро (макс 3 тыс. км)


А что ты с ней такого делал, что ее хватало на 3000 кэмэ? Или она настолько мягкая?


Yamaha FZR400RR=>Honda VTR1000SP1=>Aprilia RSV1000R=>Aprilia Dorsoduro 1200 + KTM 990 Super Duke=>EBR 1190RX + Kawasaki Z1000=>Triumph Daytona 675 '06=>Triumph Daytona 675 '13
 
EnergetikДата: Суббота, 20.02.2016, 20:49 | Сообщение # 18
Город: Москва
Мотоцикл: Aprilia RSV Mille"00
Группа: Проверенные
Сообщений: 52
Сейчас: Offline
У меня на хонде cbr750 шинка стояла... Нереально мягкая в любую погоду. При 80 лошадках держала норм)и тёрлась на ура!)
Правда, там и лысо-дубовый данлоп даже в дождь проливной норм себя показывал.


Улыбайтесь-это всех раздражает!
 
zviadiДата: Суббота, 20.02.2016, 21:04 | Сообщение # 19
Город: Санкт-Петербург
Мотоцикл: Triumph Daytona 675
Группа: Администраторы
Сообщений: 6470
Сейчас: Offline
Моя тоже была относительно мягкая и свежая, но что-то нормально не держала ни посуху, ни в дождь...
Видимо, тут дело не в мягкости на ощупь.


Yamaha FZR400RR=>Honda VTR1000SP1=>Aprilia RSV1000R=>Aprilia Dorsoduro 1200 + KTM 990 Super Duke=>EBR 1190RX + Kawasaki Z1000=>Triumph Daytona 675 '06=>Triumph Daytona 675 '13
 
евгенДата: Воскресенье, 21.02.2016, 18:48 | Сообщение # 20
Город: область
Мотоцикл: Aprilia RSV Mille
Группа: Проверенные
Сообщений: 51
Сейчас: Offline
Тоже мот достался на Шинке. Думал, что резина годная, пока не поставил Мишу!
Корсу хочу попробовать...
 
СаваДата: Вторник, 23.02.2016, 20:44 | Сообщение # 21
Город: Москва
Мотоцикл: RSV MILLE 1000 R factory
Группа: Проверенные
Сообщений: 18
Сейчас: Offline
Вот решил что-то другое попробовать ))
А почему улетала - так, думаю, мягкая + стиль езды + давление + sp1 все-таки резину кушает сильно и на разгоне, и на торможении двигателем.
Да и обсуждение )) не шинки )), а мои раздумья - что выбрать из двух комплектов.
 
zviadiДата: Вторник, 23.02.2016, 20:51 | Сообщение # 22
Город: Санкт-Петербург
Мотоцикл: Triumph Daytona 675
Группа: Администраторы
Сообщений: 6470
Сейчас: Offline
Цитата Сава ()
sp1 все-таки резину кушает сильно и на разгоне, и на торможении двигателем


Был у меня SP-1, резина на нем расходовалась примерно так же, как и на всех моих последующих литрах.
Но 3000 км - все равно очень мало. Мне одного баллона на всех моих бывших и нынешнем мотоциклах хватало примерно на 5500-6000 км.

Добавлено (23.02.2016, 20:51)
---------------------------------------------
Вот, кстати, пониженное давление и способствует повышенному расходу резины. Не вижу смысла играть давлением - ты ж не на треке на время едешь...


Yamaha FZR400RR=>Honda VTR1000SP1=>Aprilia RSV1000R=>Aprilia Dorsoduro 1200 + KTM 990 Super Duke=>EBR 1190RX + Kawasaki Z1000=>Triumph Daytona 675 '06=>Triumph Daytona 675 '13
 
СаваДата: Вторник, 23.02.2016, 20:53 | Сообщение # 23
Город: Москва
Мотоцикл: RSV MILLE 1000 R factory
Группа: Проверенные
Сообщений: 18
Сейчас: Offline
Ну, спешки уже нет. Есть Априлька Фактори 06 г, на которой надо резину менять в приоритете ))) Передний баллон лысый 06 года, задний - почти лысый 08 ))))
 
zviadiДата: Среда, 24.02.2016, 12:10 | Сообщение # 24
Город: Санкт-Петербург
Мотоцикл: Triumph Daytona 675
Группа: Администраторы
Сообщений: 6470
Сейчас: Offline
Я смотрю, ты на другом форуме вопрос про резину задал? Я ж тебе написал подробно по отличиям Пирелли и Мишлена. На одном и том же мотоцикле сравнивал лично, ездил по 1 месяцу на той и на другой (потом просто резина стерлась).
Ты мне не веришь, что ли? biggrin


Yamaha FZR400RR=>Honda VTR1000SP1=>Aprilia RSV1000R=>Aprilia Dorsoduro 1200 + KTM 990 Super Duke=>EBR 1190RX + Kawasaki Z1000=>Triumph Daytona 675 '06=>Triumph Daytona 675 '13
 
СаваДата: Среда, 24.02.2016, 20:53 | Сообщение # 25
Город: Москва
Мотоцикл: RSV MILLE 1000 R factory
Группа: Проверенные
Сообщений: 18
Сейчас: Offline
Да, косяк )) спалился)) biggrin Да просто там народу побольше на чуть-чуть, вдруг что ...
Попробовать лично эти два комплекта боюсь не придется )) Честно.... первые впечатления от априльки + только тормоза передние...
Нет в ней маленького бесенка!
Хотя сезон покажет )
 
BiLLyДата: Среда, 24.02.2016, 22:20 | Сообщение # 26
Город: Москва
Мотоцикл: WARNING! Idiot on board
Группа: Проверенные
Сообщений: 96
Сейчас: Offline
Ставь Мишлен! Перед тысяч 20 отходит - зуб даю, да и зад долго! Резина хорошая и в городе, и на дальняке.

Kawasaki ZX-6R 08
Aprilia RSV 1000R продан.
Suzuki GSXR 750 k5 продан.
Suzuki SV650S k5 продан.
 
zviadiДата: Среда, 24.02.2016, 23:01 | Сообщение # 27
Город: Санкт-Петербург
Мотоцикл: Triumph Daytona 675
Группа: Администраторы
Сообщений: 6470
Сейчас: Offline
Цитата Сава ()
Да, косяк )) спалился)) Да просто там народу побольше на чуть-чуть, вдруг что ...


Да нет проблем, никто не в обиде. Спрашивай где угодно и у кого угодно.
Просто имей ввиду - там народ активно спорит насчет пользы контр-руления. Это, кагбэ, символизирует...
А так: ту ветку на третьей странице открой - и я в ней участвовал...

Цитата Сава ()
первые впечатления от априльки + только тормоза передние...
Нет в ней маленького бесенка!


Странно... Мне она во всем лучше показалась сразу же. По тормозам - просто гигантская разница.


Yamaha FZR400RR=>Honda VTR1000SP1=>Aprilia RSV1000R=>Aprilia Dorsoduro 1200 + KTM 990 Super Duke=>EBR 1190RX + Kawasaki Z1000=>Triumph Daytona 675 '06=>Triumph Daytona 675 '13
 
Matralex413Дата: Среда, 09.03.2016, 20:44 | Сообщение # 28
Город: Томск
Мотоцикл: SL1000 Falco
Группа: Проверенные
Сообщений: 8
Сейчас: Offline
Вы как-то странно примеры приводите - изредка модель резины указываете... Мишлен, Пирелли, Шинко... У них моделей куча под разные типы мотов и области применения. "Шинки" те-же вообще приличные по параметрам (+ бюджетнее) бывают.
Вот на вскидку примерчик http://dekkverk.is/myndir/shinko/shinko-010-apex/shinko-010-apex.html
Себе задок обновил новой (с 2014 года пошла в серию) копией (понятно, что хуже оригинала - Мишлена), но и дешевле в 1,5 раза - модель Shinko 016 VERGE 2X 190/50-17 меньше 7К/р вышла.
 
zviadiДата: Среда, 09.03.2016, 21:02 | Сообщение # 29
Город: Санкт-Петербург
Мотоцикл: Triumph Daytona 675
Группа: Администраторы
Сообщений: 6470
Сейчас: Offline
Не вижу смысла ставить продукцию дешевого производителя при наличии денег на продукцию нормального.
Не бывает такого, что дешевле и лучше. И эксперименты ставить на себе не собираюсь. И другим не советую.


Yamaha FZR400RR=>Honda VTR1000SP1=>Aprilia RSV1000R=>Aprilia Dorsoduro 1200 + KTM 990 Super Duke=>EBR 1190RX + Kawasaki Z1000=>Triumph Daytona 675 '06=>Triumph Daytona 675 '13
 
СаваДата: Суббота, 16.04.2016, 21:31 | Сообщение # 30
Город: Москва
Мотоцикл: RSV MILLE 1000 R factory
Группа: Проверенные
Сообщений: 18
Сейчас: Offline
Опять я с глупыми вопросами... Помидорами не кидайтесь ))))

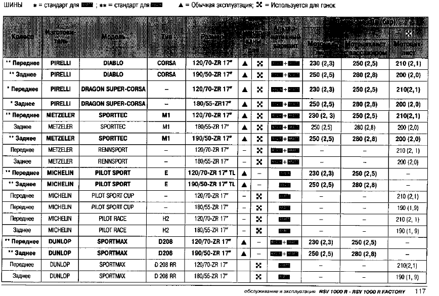
Что-то я запутался или просто нифига не понимаю с размером резины ))
Вопрос простой - какая должна ставится на заднее колесо?
180/55, 190/50 или 190/55?
А еще интересный момент - замечаю уже не первый раз разницу в мануалах: выложенном здесь на русском языке



и в книжке, которая была с мотом на английском.

Прикрепления: 5461717.jpg (1.25 Mb) · 2440609.png (89.7 Kb)
 
  • Страница 2 из 3
  • «
  • 1
  • 2
  • 3
  • »
Поиск:

Клуб любителей мотоциклов Aprilia © 2025